赛默飞|Thermo Fisher|PrepSEQ™ 核酸样品制备试剂盒|货号 A50485|100 preps, Each|1pk
赛默飞|Thermo Fisher|PrepSEQ™ Express 核酸提取试剂盒|货号 4466351|52 次分离, Each|1pk
赛默飞|Thermo Fisher|AutoMate Express™ 核酸提取系统|货号 4467754|1 instrument, Each|1pk
赛默飞|Thermo Fisher|Acclaim™ PepMap™ C18 反相 HPLC 色谱柱,5 μm,0.3 mm x 5 mm|货号 160454|Pack of 5|1pk
Waters XSELECTCSHFluoro-Phenyl3.5μm4.6x150 eCon|186005325RF
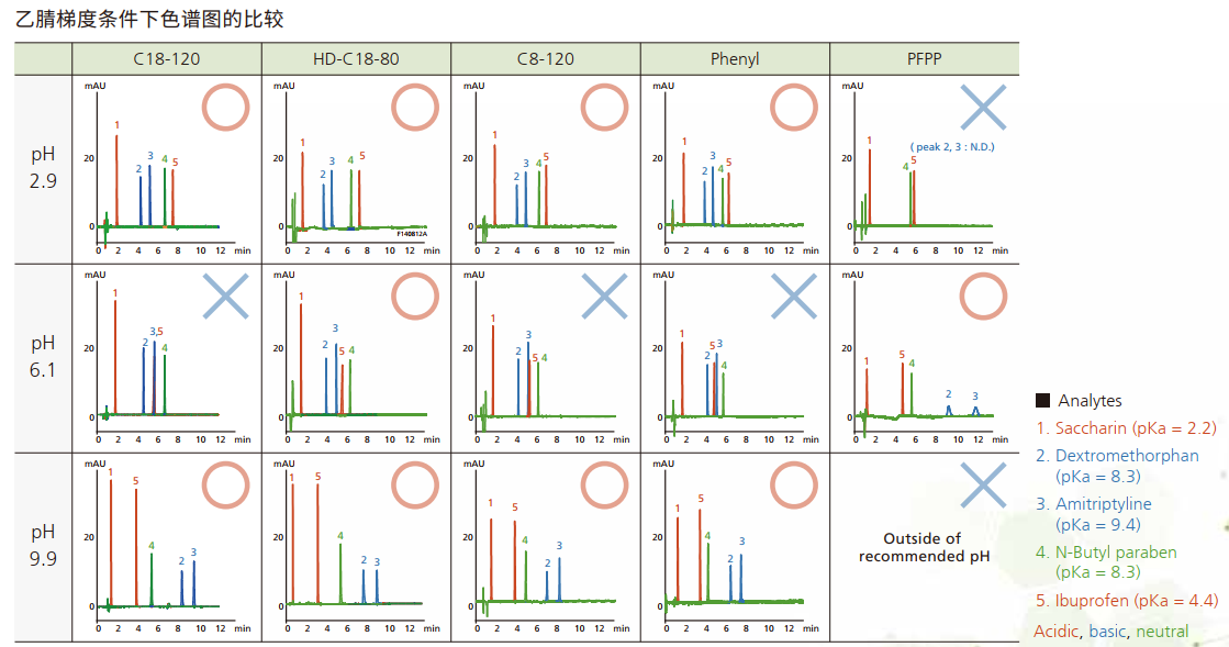
耐受宽pH范围(1-12), 8种固定相与3种柱管类型满足从UHPLC分析到纯化制备的分析检测需求,适用于各种分析检测条件。
Shim-pack Scepter™具有优异的稳定性,展现出较广泛的应用范围。 Shim-pack Scepter系列色谱柱,具有不同的官能团,对于方法开发与筛选非常高效,适用于各种应用和样品, 3种粒径规格(1.9µm, 3µm, 5µm)使得Shim-pack Scepter 色谱柱在UHPLC、 HPLC 可拓展到制备液相,可用于不同实验室仪器之间的方法无缝转换。
*操作的pH范围因官能团的差异而异,详细信息参照下面的固定相特性。


Shim-pack Scepter系列色谱柱采用有机杂化硅胶基质,具有优异的稳定性,可在酸性到碱性宽pH范围内使用。Shim-pack Scepter 系列反相色谱柱在中性以及碱性条件下的稳定性证明如下。Shim-pack Scepter系列色谱柱相比于其他厂家C18色谱柱,在相当长的时间内展现出较好的稳定性。

在不同的流动相pH以及有机相调节条件下, Shim-pack Scepter系列液相色谱柱表现出优异的稳定性。


一致的批间重现性是实验分析检测中复杂组分分析的关键, Shim-pack Scepter色谱柱展现出一致的批间重现性。


| Shim-pack Scepter C18-300, C4-300是大孔径有机杂化硅胶反相色谱柱,主要用于诸如单克隆抗体、寡核苷酸、多肽等大分子物质的分离分析,这类物质由于尺寸排斥效应影响,难以在100-200 Å孔径色谱柱上保留。Scepter 300 Å色谱柱,不仅拥有杂化硅胶基质的特性,在高温条件,酸性、碱性流动相条件下展现出较好的稳定性。同时,大孔径对大分子量化合物进行优化,有利于大分子物质均匀分散在色谱柱中,与较小孔径的色谱柱相比,峰形更对称。同时有效提高了抗体和核酸检测的分辨率。Shim-pack Scepter C18-300, C4-300也适用于高灵敏度的LC/MS分析,即使在甲酸等弱离子条件下,也可以提供良好的峰形。 | ![]() |
相比与Shim-pack Scepter C18-120, Shim-pack Scepter C18-300色谱柱具有更大的孔径,相近的碳载量,更低的比表面积。因此,对于一些保留太强的化合物分析检测,在典型的C18保留可能不一致, Scepter C18-300相比于Scepter C18-120,展现出更弱的保留,使得它适用于缩短分析时间的应用。

Shim-pack Scepter C18-300和C4-300采用大孔300 Å (30 nm)填料。对于分子量在5000以上的中型和大型分子,建议使用较大的孔径来分析,以实现增加物质保留和避免尺寸排斥效应。对四种不同肽和蛋白质的混合样品的分析,展示了与胰岛素、核糖核酸酶a的良好分离,这是由于孔径足够大,允许这些大分子量化合物的适当扩散。

| Shim-pack Scepter Claris是在色谱柱柱身内部覆盖了一层生物惰性涂层。 | ![]() |
对比具有生物惰性涂层的Shim-pack Scepter Claris C18-120和传统的不锈钢的Shim-pack Scepter C18-120色谱柱。对于合成寡核甘酸的分析检测,Claris色谱柱具有更高的灵敏度,从第1针到第10针,不会造成样品信号丢失减弱,可重现第一针的结果。传统的不锈钢柱管的Scepter C18-120由于样品的吸附,展现出较低的灵敏度。

对比Shim-pack Scepter Claris C18-120(生物惰性涂层)和Shim-pack Scepter C18-120(不锈钢管),对于寡脱氧胸苷酸[d(T)20]的分析,结果表明由于金属表面吸附, Scepter C18-120展现出较低的峰强度。相反Scepter Claris C18-120提供了一个尖锐、更高的峰形。

Shim-pack Scepter Claris C18-120大大减少了金属与色谱柱表面的吸附作用,实现高分辨率的分离。在这个结构复杂的磷脂酰 胆碱异构体的例子中, Scepter Claris C18-120以更高的灵敏度提高了异构体之间的基线分辨率。

| Shim-pack Scepter(metal-free)是一个peek内衬不锈钢体设计的超高性能分析惰性色谱柱。这类型色谱柱包括柱管以及筛板都是Metalfree的。 | ![]() |

报价:¥10762
已咨询1次液相色谱仪
报价:¥8994
已咨询0次液相色谱仪
报价:¥8994
已咨询1次液相色谱仪
报价:¥8994
已咨询1次液相色谱仪
报价:¥8994
已咨询0次液相色谱仪
报价:¥9816
已咨询0次液相色谱仪
报价:¥8994
已咨询0次液相色谱仪
报价:¥8994
已咨询1次液相色谱仪
货号:BNCC363487 规格:单管 单位:盒 浓度:(6.1±1.2)×10^6copies/mL
货号:BNCC394163 规格:10管/盒;500μL/管 单位:盒 浓度:10^4~10^5copies/mL
货号:BNCC394164 规格:10管/盒;500μL/管 单位:盒 浓度:10^5~10^6copies/mL
货号:BNCC394165 规格:10管/盒;500μL/管 单位:盒 浓度:10^7~10^8copies/mL
货号:BWZ7927-2016A 规格:2支/套 单位:套 浓度:4组分 适用标
货号:A50485 规格:1pk 单位:套 浓度:100 preps, Each
货号:4466351 规格:1pk 单位:套 浓度:52 次分离, Each 适
货号:4467754 规格:1pk 单位:套 浓度:1 instrument, Each