分析对象限于在300℃左右及以下可以汽化、并且能离子化的样品;在加热过程中易分解的、极性太强的化合物,往往需要进一步处理才能上机。不易挥发、强极性、热不稳定及高分子量化合物的分析,往往需要使用LCMS分析技术。
GC-MS总体上由以下五大部分组成:色谱仪(常压)、接口部分、质谱分析器(高真空)和计算机数据处理系统。示意图如下:
气相色谱部分
气相色谱仪的基本流程如图所示。主要包括以下5大系统:气路系统、进样系统、分离系统、温度控制系统以及检测和记录系统。
气相色谱仪的组成部分及作用:
(1)载气系统:包括气源、气体净化、气体流速控制和测量。为获得纯净、流速稳定的载气。
(2)进样系统:包括进样器和气化室。进样器分气体进样器和液体进样器,气化室是将液体样品瞬间气化的装置。
(3)分离系统:包括色谱柱和柱温箱和控温装置。根据各组分在流动相和固定相中分配系数或吸附系数的差异,使各组分在色谱柱中得到分离。
(4)温控系统:控制气化室、柱箱和检测器的温度。
(5)检测和记录系统:包括检测器、放大器、记录仪、或数据处理装置、工作站 (色谱图)。将各组分的浓度或质量转变成电信号并记录。
接口部分
是协调联用仪器输出和输入状态的硬件设备。一般分为直接接口(小口径毛细管柱)和开口分流接口(大口径毛细管柱),用于除去GC部分的载气并传输组分。
在GC-MS联用中有两个作用:
(1)压力匹配——质谱离子源的真空度在10-3Pa,而GC色谱柱出口压力高达105Pa,接口的作用就是要使两者压力匹配。
(2)组分浓缩——从GC色谱柱流出的气体中有大量载气,接口的作用是排除载气,使被测物浓缩后进入离子源。
MS质谱部分
质谱仪的基本部件有:离子源、滤质器、检测器三部分组成(结构示意图如图4),它们被安放在真空总管道内。在GC-MS联用中经过气相色谱分离的各气态分子受离子源轰击,电解裂解成分子离子,并进一步碎裂为碎片离子。在电场和磁场综合作用下,按照m/z大小进行分离,到达检测器检测、记录和整理,得到质谱图,实现样品定性定量分析。
(1)进样系统:GC出来的样品直接进入MS分析仪。
(2)离子源:离子源的作用是接受样品产生离子。常用的离子化方式有:电子轰击EI;化学电离CI。
(3)质量分析器:其作用是将电离室中生成的离子按质荷比(m/z)大小分开,进行质谱检测。常见质量分析器有:四极质量分析器;扇形质量分析器;双聚焦质量分析器;离子阱检测器。
(4)检测器:检测器的作用是将离子束转变成电信号,并将信号放大,常用检测器是电子倍增器。
GC-MS联用技术
原理:
下图为GC-MS联用仪的内部组成示意图。在这个组合中气相色谱仪分离样品中各组分,起着样品制备的作用;接口把气相色谱流出的各组分送入质谱仪进行检测,起着气相色谱和质谱之间适配器的作用;质谱仪对接口依次引入的各组分进行分析,成为气相色谱仪的检测器;计算机系统交互式地控制气相色谱、接口和质谱仪,进行数据采集和处理,是GC-MS的中央控制单元。
GC-MS技术特点
优点:
一般应用可省略色谱检测器:GC作为进样系统,将待测样品分离后直接导入质谱进行检测,既满足了质谱分析对样品单一性的要求,又省去样品制备、转移的繁琐过程,不仅避免了样品受污染,对质谱进样量还能有效控制,也减少了质谱仪的污染,极大地提高了对混合物分离、定性定量效率。
定性能力高:用色谱保留时间结合化合物的指纹质谱图鉴定组分,大大优于仅靠色谱保留时间。GC-MS的定性指标有分子离子、功能团离子、离子峰强度比、同位素离子峰、离子反应的母子离子质量数以及总离子流色谱峰、选择离子色谱峰和选择反应色谱峰所对应的保留时间窗。
可分离尚未分离的色谱峰:用提取离子、选择离子监测或选择反应监测法,以及结合某些数据处理方法(如AMDIS),可分离总离子流色谱图上尚未分离或被化学噪声掩盖的色谱峰。
可提高定量分析精度:通过用同位素稀释和内标技术可提高定量精度和定性能力。
提高仪器功能,实现分析自动化:计算机的多功能使仪器的结构更简单,操作更方便,更易于实现分析工作的自动化。
不足:
分析对象有限制:分析对象限于在300℃左右及以下可以汽化、并且能离子化的样品;在加热过程中易分解的、极性太强的化合物,如有机酸类等,则需进行酯化衍生处理才可进行GC-MS分析,如果样品不能汽化也不能酯化则需采取LC-MS或其他方法分析。
测试条件有限制:GC-MS分析样品应是有机溶液,固体或水溶液中的有机物一般不能测定,需进行萃取分离变为有机溶液,或采用热裂解、顶空进样技术。
质谱应用有限制:目前质谱还有一个很重要的不足是对很多异构体(尤其是位置异构)无法分辨。
GC-MS测样要求
GC-MS分析可用于液体,气体和固体样品,但主要限于挥发性和半挥发性化合物。气体&液体:样品通常直接注入GC。
固体:固体,通过溶剂萃取,除气(解吸)或热解进行分析。解吸实验在40-300℃之间的受控温度下在氦气流下进行,在解吸期间在低温阱上收集分析物。
热解是用于分析不能直接注入GC-MS的材料的另一种取样技术。通过直接向样品施加热,分子可以以可再现的方式分解。然后将较小的分子引入GC中并通过GC-MS分析。
总体要求:样品要求溶解于有机溶剂(如丙酮、正己烷等);样品中不能含有水,盐类和酸碱类等物质;应是易挥发的、热稳定的,沸点一般不超过500℃,分子量小于500的化合物;需要进行衍生化处理的样品,要提前处理好;样品含量在ppb-ppm级,样品一般不少于0.5mL,太少的样品量需要配置微量衬管。
GC-MS结果分析
定性分析基础:
GC-MS联用分析常用的定量方法和色谱一样有三种,外加一种GC-MS特有方法:
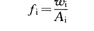
(1) 归一化法。将样品中所有组分含量之和作为100,计算各个组分的相对百分含量,称为归一化法。计算公式:
式中:Wi——组分i含量;Ai——组分i的峰面积(或峰高);fi——组分i的质量校正因子。当fi为体积校正因子或摩尔校正因子时,结果分别为体积分数或摩尔分数。
(2) 外标标准曲线方法。用标准样品配制不同浓度的标样,在与待测样品完全相同的操作条件下,测得标样中各化合物的峰面积或峰高,得到响应因子:
式中:Wi——待测化合物标样含量;Ai——待测化合物标样峰面积(或峰高)。
(3) 内标法内标标准曲线方法 。外标法存在一定缺点,限于每次的分析条件从样品处理到测试都会产生误差。为了克服不可避免的测量误差,选择适当的基准物质(内标化合物)加入标样和待测样品中进行测定,计算待测化合物和内标化合物响应值之比(称为相对响应因子),由相对响应因子和加入内标化合物的量进行定量,称为内标法。相对响应因子计算,如下:
式中:Wi——待测化合物标样含量;Ai——待测化合物标样峰面积(或峰高);WS——内标化合物含量;As——内标化合物峰面积(或峰高)
(4)同位素稀释法。最理想的是采用待测化合物的同位素标记物作为内标,可以保证内标化合物的化学性质、色谱行为、质谱行为都与待测化合物一致,这样可以消除化合物之间的差别带来的误差。同位素标记物作内标只有GC/MS联用技术可以运用。计算公式:
式中,RF为校正因子,RF=含量/面积或含量/峰高;C为含量;S为峰面积或峰高。
同位素稀释法的优点为:一般可以校正基体影响(标样和样品的差别),提取效率稳定;进样误差小,保留时间随溶剂梯度变化影响不大;仪器漂移影响小;在质谱中同位素稀释剂与样品分析物响应稳定,定量结果从样品分析物与内标的响应比得出更准确。
缺点为:样品制备很耗时;对移液和稀释等中的误差结果有缺陷。
GC-MS常见疑难问题解答
(1)质谱开机约7分钟后,前级泵自动关闭。
质谱启动7分钟内如果前级泵真空不低于300mTorr (扩散泵系统)或分子涡轮泵转速小于80%,机械泵将自动关闭以避免大量空气抽入真空腔导致污染。一般的原因是真空腔没关好。
(2)氮气峰丰度大于20%,导致调谐评价不达标,报告显示系统有泄漏。
从调谐报告中的18,28和32相对于69的丰度可以看出问题所在。如果18很高而28,32很低就意味着抽真空时间不够,因为水较难抽走。如果18很低而28,32很高,那就是真的有漏气,一般原因是柱子没装好,比如说用错石墨垫。如果18,32都很低而28很高,那并不意味着漏气,其原因可能是气体净化管进了空气或者是气体质量不好。我还见过40很高的情况,最后发现用户买的氦气其实是氩气。
(3)调谐通不过,提示“没有发射电流”。
如果用户刚洗过离子源,那就是灯丝没装好。否则是灯丝烧了。解决办法要么换灯丝,要么在手动调谐里改用另一灯丝即可。记住当你发现质谱有问题时,别忘了想想之前你动了什么。
(4)不装柱子调谐可以通过,装了柱子通不过。
不装柱子调谐正常表示质谱是好的,问题出在柱子上。常见的原因有两个:一是柱子断了或 密封不好导致质谱真空下降,二是柱子伸的太长挡住了电子束。
(5)调谐评价显示真空很好,18和28都很低,但是502丰度小于3%。
先检查离子源温度,如果离子源温度高于230度,要先把它降到230度。因为离子源温度越高,502的丰度就越低。然后检查Repeller电压,你可以适当提高Repeller电压的最高限制,比如说35伏。较高的电压可以得到较高的502相对丰度。如果这些措施都无效,可能需要清洗离子源。
(6)质量数不正确或者质谱图很怪,和标准质谱图根本对不上号。
质谱需要调谐,就好比砝码需要校准。自动调谐的结果存在atune.u 里头。如果你的方法采用的调谐文件名字不叫atune.u,比如说叫himass.u ,记住要在调谐后把调谐结果存到himass.u,否则调谐了也没用上。
(7)无法联机。
工作站非正常退出会导致无法联机,你需要重启电脑,气相色谱和质谱。
全部评论(0条)
二手 日立 SU-8010 冷场发射扫描电镜
报价:¥11.11 已咨询 76次
二手 日本电子 IT-300 扫描电镜
报价:¥11.11 已咨询 86次
二手 日本电子 IT-500场发射电镜
报价:¥11.11 已咨询 82次
二手 蔡司 SUPRA 40VP 场发射电镜
报价:¥11.11 已咨询 66次
二手 日本电子 IT-200扫描电镜
报价:¥11.11 已咨询 64次
二手 日立 SU-5000热场发射电镜
报价:¥11.11 已咨询 70次
二手 日立S-4800 冷场发射电镜
报价:¥11.11 已咨询 77次
二手 日立 SEM+EDX 冷场电镜
报价:¥11.11 已咨询 63次
关于GC-MS气相色谱质谱联用仪疑难解答
2025-11-14
2024-12-13
GC-MS“联用”的奥秘:从色谱分离到质谱鉴定的“无缝对接”是如何实现的?
2026-01-27
气相色谱质谱联用仪原理
2025-01-31
氢燃料电池杂质分析利器——谱育科技Pre 4000 大气预浓缩仪-GC-MS联用技术
2024-09-27
为什么GC-MS是“黄金搭档”?揭秘联用技术1+1>2的底层逻辑
2026-01-27
①本文由仪器网入驻的作者或注册的会员撰写并发布,观点仅代表作者本人,不代表仪器网立场。若内容侵犯到您的合法权益,请及时告诉,我们立即通知作者,并马上删除。
②凡本网注明"来源:仪器网"的所有作品,版权均属于仪器网,转载时须经本网同意,并请注明仪器网(www.yiqi.com)。
③本网转载并注明来源的作品,目的在于传递更多信息,并不代表本网赞同其观点或证实其内容的真实性,不承担此类作品侵权行为的直接责任及连带责任。其他媒体、网站或个人从本网转载时,必须保留本网注明的作品来源,并自负版权等法律责任。
④若本站内容侵犯到您的合法权益,请及时告诉,我们马上修改或删除。邮箱:hezou_yiqi
参与评论
登录后参与评论